SOLUTIONS TO LIMITS OF FUNCTIONS AS X APPROACHES PLUS OR MINUS INFINITY



SOLUTION 13 :

tex2html_wrap_inline532 = tex2html_wrap_inline534

(This is true because the expression tex2html_wrap_inline536 approaches tex2html_wrap_inline538 and the expression x + 3 approaches tex2html_wrap_inline538 as x approaches tex2html_wrap_inline538 . The next step follows from the following simple fact. If A is a positive quantity, then tex2html_wrap_inline548 = A . )

= tex2html_wrap_inline552

= tex2html_wrap_inline554

= tex2html_wrap_inline556

(You will learn later that the previous step is valid because of the continuity of the square root function.)

= tex2html_wrap_inline558

(Inside the square root sign lies an indeterminate form. Circumvent it by dividing each term by tex2html_wrap_inline560 , the highest power of x inside the square root sign.)

= tex2html_wrap_inline564

= tex2html_wrap_inline566

= tex2html_wrap_inline568

(Each of the three expressions tex2html_wrap_inline570 , tex2html_wrap_inline572 , and tex2html_wrap_inline574 approaches 0 as x approaches tex2html_wrap_inline538 .)

= tex2html_wrap_inline582

= tex2html_wrap_inline584

= tex2html_wrap_inline586 .

Click HERE to return to the list of problems.




SOLUTION 14 :

tex2html_wrap_inline588 = tex2html_wrap_inline590

(This is true because the expression tex2html_wrap_inline536 approaches tex2html_wrap_inline538 and the expression x + 3 approaches tex2html_wrap_inline598 as x approaches tex2html_wrap_inline598 . The next step follows from the following simple fact. If A is a negative quantity, then tex2html_wrap_inline548 = - A so that tex2html_wrap_inline610 = - ( - A ) = A . Please make sure that you think about and understand this before proceeding. )

= tex2html_wrap_inline616

= tex2html_wrap_inline618

= tex2html_wrap_inline620

(You will learn later that the previous step is valid because of the continuity of the square root function.)

= tex2html_wrap_inline622

(Inside the square root sign lies an indeterminate form. Circumvent it by dividing each term by tex2html_wrap_inline560 , the highest power of x inside the square root sign.)

= tex2html_wrap_inline628

= tex2html_wrap_inline630

= tex2html_wrap_inline632

(Each of the three expressions tex2html_wrap_inline570 , tex2html_wrap_inline572 , and tex2html_wrap_inline574 approaches 0 as x approaches tex2html_wrap_inline598 .)

= tex2html_wrap_inline646

= tex2html_wrap_inline648

= tex2html_wrap_inline650 .

Click HERE to return to the list of problems.




SOLUTION 15 :

tex2html_wrap_inline652 = tex2html_wrap_inline654

(You will learn later that the previous step is valid because of the continuity of the logarithm function. Note also that the expression tex2html_wrap_inline656 leads to the indeterminate form tex2html_wrap_inline534 . Circumvent it by dividing each term by tex2html_wrap_inline660 , the highest power of x .)

= tex2html_wrap_inline664

= tex2html_wrap_inline666

= tex2html_wrap_inline668

(The term tex2html_wrap_inline670 approaches 0 as x approaches tex2html_wrap_inline538 .)

= tex2html_wrap_inline678

= tex2html_wrap_inline680

= 0 .

Click HERE to return to the list of problems.




SOLUTION 16 :

tex2html_wrap_inline684 = tex2html_wrap_inline686

(You will learn later that the previous step is valid because of the continuity of the cosine function.)

= tex2html_wrap_inline688

= tex2html_wrap_inline690

(The expression tex2html_wrap_inline692 leads to the indeterminate form tex2html_wrap_inline694 . Circumvent it by dividing each term by tex2html_wrap_inline560 , the highest power of x in the expression.)

= tex2html_wrap_inline700

= tex2html_wrap_inline702

= tex2html_wrap_inline704

(Each of the terms tex2html_wrap_inline706 and tex2html_wrap_inline708 approaches 0 as x approaches tex2html_wrap_inline598 .)

= tex2html_wrap_inline716

= tex2html_wrap_inline718

= tex2html_wrap_inline720 .

Click HERE to return to the list of problems.




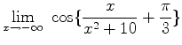
SOLUTION 17 :

tex2html_wrap_inline722

(As x approaches tex2html_wrap_inline598 each of the expressions tex2html_wrap_inline728 and tex2html_wrap_inline730 approaches 0. The following steps explain why.)

= tex2html_wrap_inline732

= tex2html_wrap_inline734

= tex2html_wrap_inline736

= tex2html_wrap_inline738

= 0 .

Click HERE to return to the list of problems.




SOLUTION 18 :

tex2html_wrap_inline742 = tex2html_wrap_inline694

(Circumvent this indeterminate form by dividing each term in the expression by tex2html_wrap_inline746 . Division by tex2html_wrap_inline748 also works . You might want to try it both ways to convince yourself of this. Also, BEWARE of making one of the following common MISTAKES : tex2html_wrap_inline750 = tex2html_wrap_inline752 or \ tex2html_wrap_inline754 = tex2html_wrap_inline756 .)

= tex2html_wrap_inline758

= tex2html_wrap_inline760

= tex2html_wrap_inline762

(Since tex2html_wrap_inline764 approaches 0 and tex2html_wrap_inline766 approaches tex2html_wrap_inline538 as x approaches tex2html_wrap_inline538 , we get the following resultant limit.)

= tex2html_wrap_inline774

= tex2html_wrap_inline538 .

(Thus, the limit does not exist.)

Click HERE to return to the list of problems.




SOLUTION 19 :

tex2html_wrap_inline778 = `` tex2html_wrap_inline780 '' truein truein (BEWARE of making the following common MISTAKE : tex2html_wrap_inline782 = tex2html_wrap_inline784 . Realize also that the form `` tex2html_wrap_inline780 '' is an indeterminate one ! It is not equal to 1 ! Circumvent it in the following algebraic ways.)

= tex2html_wrap_inline788

= tex2html_wrap_inline790

(Factor out the term tex2html_wrap_inline792 . If you have time, try factoring out the term tex2html_wrap_inline794 to convince yourself that it DOESN'T seem to help !)

= tex2html_wrap_inline796

= tex2html_wrap_inline798

= tex2html_wrap_inline800

= tex2html_wrap_inline802

= tex2html_wrap_inline804

(The expressions tex2html_wrap_inline806 and tex2html_wrap_inline706 approach 0 as x approaches tex2html_wrap_inline538 .)

= tex2html_wrap_inline814

= tex2html_wrap_inline816 .

= 9 .

Click HERE to return to the list of problems.




Duane Kouba
Wed Apr 2 10:10:40 PST 1997