Summation Notation Solutions

SOLUTIONS TO THE ALGEBRA OF SUMMATION NOTATION



SOLUTION 1 :

$ \displaystyle{ \sum_{i=0}^{3} (5 +\sqrt{ 4^i }) }
= (5+\sqrt{4^0}) + (5+\sqrt{4^1}) + (5+\sqrt{4^2}) + (5+\sqrt{4^3}) $

$ = (5+\sqrt{1}) + (5+\sqrt{4}) + (5+\sqrt{16}) + (5+\sqrt{64}) $

= (5+1) + (5+2) + (5+4) + (5+8)

= 6 + 7 + 9 + 13

= 35 .

Click HERE to return to the list of problems.




SOLUTION 2 :

$ \displaystyle{ \sum_{i=1}^{100} (4 + 3i) } =
\displaystyle{ \sum_{i=1}^{100}4 } + \displaystyle{ \sum_{i=1}^{100} 3i } $

(The above step is nothing more than changing the order and grouping of the original summation.)

$ = \displaystyle{ \sum_{i=1}^{100}4 } + \displaystyle{ 3 \Big( \sum_{i=1}^{100} i \Big) } $

(Placing 3 in front of the second summation is simply factoring 3 from each term in the summation. Now apply Rule 1 to the first summation and Rule 2 to the second summation.)

$ = \displaystyle{ 4 (100) + 3 \Big\{ { 100 (100+1) \over 2 } \Big\} } $

= 400 + 15,150

= 15,550 .

Click HERE to return to the list of problems.




SOLUTION 3 :

$ \displaystyle{ \sum_{i=1}^{200} (i-3)^2 } =
\displaystyle{ \sum_{i=1}^{200} (i^2 - 6i + 9) } $

(Separate this summation into three separate summations.)

$ = \displaystyle{ \sum_{i=1}^{200} i^2 - \sum_{i=1}^{200} 6i + \sum_{i=1}^{200} 9 } $

(Factor out the number 6 in the second summation.)

$ = \displaystyle{ \sum_{i=1}^{200} i^2 - 6 \Big( \sum_{i=1}^{200} i \Big) + \sum_{i=1}^{200} 9 } $

(Apply Rules 1, 2, and 3.)

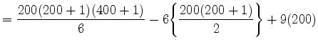
$ = \displaystyle{ { 200(200+1)(400+1) \over 6 } + 6 \Big\{ { 200(200+1) \over 2 } \Big\} + 9(200) } $

= 2,686,700 - 120,600 + 1800

= 2,567,900 .

Click HERE to return to the list of problems.




SOLUTION 4 :

$ \displaystyle{ \sum_{i=15}^{150} (4i+1) } =
\displaystyle{ \sum_{i=15}^{150} 4i + \sum_{i=15}^{150} 1 } $

$ = \displaystyle{ 4 \Big( \sum_{i=15}^{150} i \Big) + \sum_{i=15}^{150} 1 } $

(Since each summation begins with i=15, WE CANNOT USE THE RULES IN THE FORM THAT THEY ARE GIVEN. Observe the following simple method to correct this shortcoming.)

$ = \displaystyle{ 4 \Big( \sum_{i=1}^{150} i - \sum_{i=1}^{14} i \Big) + \Big( \sum_{i=1}^{150} 1 - \sum_{i=1}^{14} 1 \Big) } $

(Now apply Rules 1 and 2.)

$ = \displaystyle{ 4 \Big( { 150(150+1) \over 2 } - { 14(14+1) \over 2 } \Big)
+ ( (1)(150) - (1)(14) ) } $

= 4(11,325 - 105) + (136)

= 45,016 .

Click HERE to return to the list of problems.




SOLUTION 5 :

(Note that $ \ln 4 $ cancels, then $ \ln 5 $, then $ \ln 6 $ , then ... all the way to $ \ln 52 $. Because of this consecutive term cancellation, this type of summation is called a "telescoping" sum. This cancellation will be shown in detail. First change the order of addition.)

(Now reassociate and collect "like" terms.)

$ = - \ln 3 + ( 0 )+ ( 0 ) + ( 0 ) + ( 0 ) + ... + ( 0 ) + ( 0 ) + ( 0 ) + \ln 53 $

$ = \ln 53 - \ln 3 $

(Recall that $ \ln A - \ln B = \ln ( A/B ) $ .)

$ = \ln (53/3) $ .

Click HERE to return to the list of problems.




SOLUTION 6 :

(This is a "telescoping" sum. Group "like" terms and cancel.)

$ = \displaystyle{ { 1 \over 29 } + \Big( { -1 \over 30 } + { 1 \over 30 } \Big)...
...31 } + { 1 \over 31 } \Big) + \Big( { -1 \over 32 } + { 1 \over 32 } \Big) + } $

$ ... \displaystyle{
+ \Big( { -1 \over 152 } + { 1 \over 152 } \Big)+ \Big( { -...
...3 } \Big) + \Big( { -1 \over 154 } + { 1 \over 154 } \Big) - { 1 \over 155 } } $

$ = \displaystyle{ { 1 \over 29 } + (0) + (0) + (0) + ... + (0) + (0) + (0) - { 1 \over 155 } } $

$ = \displaystyle{ { 1 \over 29 } - { 1 \over 155 } } $

$ = \displaystyle{ { 155 - 29 \over 29(155) } } $

$ = \displaystyle{ { 126 \over 4495 } } $ .

Click HERE to return to the list of problems.




SOLUTION 7 :

$ \displaystyle{ \sum_{i=10}^{80} (i^3 + i^2) } =
\displaystyle{ \sum_{i=10}^{80} i^3 + \sum_{i=10}^{80} i^2 }$

(The summations must begin with i=1 in order to use the given formulas.)

$ = \displaystyle{ \Big( \sum_{i=1}^{80} i^3 - \sum_{i=1}^{9} i^3 \Big)
+ \Big( \sum_{i=1}^{80} i^2 - \sum_{i=1}^{9} i^2 \Big) }$

$ = \displaystyle{ \Big( { 80^2(80+1)^2 \over 4 } - { 9^2(9+1)^2 \over 4 } \Big)
+ \Big( { 80(80+1)(160+1) \over 6 } - { 9(9+1)(18+1) \over 6 } \Big) } $

= 10,497,600 - 2025 + 173,880 - 285

= 10,669,170 .

Click HERE to return to the list of problems.




SOLUTION 8 :

(Recall that $ \sin(n\pi) = 0 $ if n is an integer.)

(Recall that $ \sin(\pi/2) = \sin(5\pi/2) = \sin(9\pi/2) = \sin(13\pi/2) = \sin(17\pi/2) = 1 $ and $ \sin(3\pi/2) = \sin(7\pi/2) = \sin(11\pi/2) = \sin(15\pi/2) = \sin(19\pi/2) = -1 $ .)

= 1 + (-1) + 1 + (-1) + 1 + (-1) + 1 + (-1) + 1 + (-1)

= (1 + (-1)) + (1 + (-1)) + (1 + (-1)) + (1 + (-1)) + (1 + (-1))

= 0 + 0 + 0 + 0 + 0

= 0 .

Click HERE to return to the list of problems.




SOLUTION 9 :

$ \displaystyle{ \sum_{i=7}^{32} \cos(i\pi) } = \cos(7\pi) + \cos(8\pi) + \cos(9\pi) + \cos(10\pi) + ... + \cos(29\pi) + \cos(30\pi) + \cos(31\pi) + \cos(32\pi) $

= ( (-1) + 1 ) + ( (-1) + 1 ) + ... + ( (-1) + 1 ) + ( (-1) + 1 )

= 0 + 0 + ... + 0 + 0

= 0 .

Click HERE to return to the list of problems.




SOLUTION 10 :

There are several ways to prove that $ \displaystyle{ \sum_{i=1}^{n} i = { n(n+1) \over 2 } } $ . This proof uses a telescoping sum. Consider the summation $ \displaystyle{ \sum_{i=1}^{n} [ (i+1)^2 - i^2 ] } $ . It can be evaluated in two different ways. First, treat it as a telescoping sum. Then

$ \displaystyle{ \sum_{i=1}^{n} [ (i+1)^2 - i^2 ] } = (2^2 - 1^2) + (3^2 - 2^2) + (4^2 - 3^2) + (5^2 - 4^2) + ... + (n^2 - (n-1)^2) + ((n+1)^2 - n^2) $

(Commute the addition.)

= (-12 + 22) + (-22 + 32) + (-32 + 42) + (-42 + 52) + ... + (-(n-1)2 + n2) + (-n2 + (n+1)2)

(Group "like" terms.)

= -12 + (22 - 22) + (32 - 32) + (42 - 42) + (52 - 52) + ... + ((n-1)2-(n-1)2) + (n2 - n2) + (n+1)2

= -12 + (0) + (0) + (0) + (0) + ... + (0) + (0) + (n+1)2

= (n+1)2 - 1

= n2 + 2n + 1 - 1

(*)

= n2 + 2n .

Second,

$ \displaystyle{ \sum_{i=1}^{n} [ (i+1)^2 - i^2 ] }
= \displaystyle{ \sum_{i=1}^{n} [ i^2 + 2i + 1 - i^2 ] } $

$ = \displaystyle{ \sum_{i=1}^{n} [ 2i + 1 ] } $

$ = \displaystyle{ \sum_{i=1}^{n} 2i + \sum_{i=1}^{n} 1 } $

$ = \displaystyle{ 2 \Big( \sum_{i=1}^{n} i \Big) + \sum_{i=1}^{n} 1 } $

$ = \displaystyle{ 2 \Big( \sum_{i=1}^{n} i \Big) + (1)(n) } $

(**)

$ = \displaystyle{ 2 \Big( \sum_{i=1}^{n} i \Big) + n } $ .

Equating expressions (*) and (**) we get that

$ \displaystyle{ 2 \Big( \sum_{i=1}^{n} i \Big) + n } = n^2 + 2n $ ,

$ \displaystyle{ 2 \Big( \sum_{i=1}^{n} i \Big) } = n^2 + n $ ,

or

$ \displaystyle{ \sum_{i=1}^{n} i = { n(n+1) \over 2 } } $ .

This completes the proof.

Click HERE to return to the list of problems.




SOLUTION 11 :

There are several ways to prove that $ \displaystyle{ \sum_{i=1}^{n} i^2 = { n(n+1)(2n+1) \over 6 } } $ . This proof uses a telescoping sum. Consider the summation $ \displaystyle{ \sum_{i=1}^{n} [ (i+1)^3 - i^3 ] } $ . It can be evaluated in two different ways. First, treat it as a telescoping sum. Then

$ \displaystyle{ \sum_{i=1}^{n} [ (i+1)^3 - i^3 ] } = (2^3 - 1^3) + (3^3 - 2^3) + (4^3 - 3^3) + (5^3 - 4^3) + ... + (n^3 - (n-1)^3) + ((n+1)^3 - n^3) $

(Commute the addition.)

= (-13 + 23) + (-23 + 33) + (-33 + 43) + (-43 + 53) + ... + (-(n-1)3 + n3) + (-n3 + (n+1)3)

(Group "like" terms.)

= -13 + (23 - 23) + (33 - 33) + (43 - 43) + (53 - 53) + ... + ((n-1)3 - (n-1)3) + (n3 - n3) + (n+1)3

= -13 + (0) + (0) + (0) + (0) + ... + (0) + (0) + (n+1)3

= (n+1)3 - 1

= n3 + 3n2 + 3n + 1 - 1

(*)

= n3 + 3n2 + 3n .

Second,

$ \displaystyle{ \sum_{i=1}^{n} [ (i+1)^3 - i^3 ] }
= \displaystyle{ \sum_{i=1}^{n} [ i^3 + 3i^2 + 3i + 1 - i^3 ] } $

$ = \displaystyle{ \sum_{i=1}^{n} [ 3i^2 + 3i + 1 ] } $

$ = \displaystyle{ \sum_{i=1}^{n} 3i^2 + \sum_{i=1}^{n} 3i + \sum_{i=1}^{n} 1 } $

$ = \displaystyle{ 3 \Big( \sum_{i=1}^{n} i^2 \Big) + 3 \Big( \sum_{i=1}^{n} i \Big) + \sum_{i=1}^{n} 1 } $

$ = \displaystyle{ 3 \Big( \sum_{i=1}^{n} i^2 \Big) + 3 \Big\{ { n(n+1) \over 2 } \Big\} + (1)(n) } $

$ = \displaystyle{ 3 \Big( \sum_{i=1}^{n} i^2 \Big) + (3/2)n^2 + (3/2)n + n } $

(**)

$ = \displaystyle{ 3 \Big( \sum_{i=1}^{n} i^2 \Big) + (3/2)n^2 + (5/2)n } $ .

Equating expressions (*) and (**) we get that

$ \displaystyle{ 3 \Big( \sum_{i=1}^{n} i^2 \Big) + (3/2)n^2 + (5/2)n } = n^3 + 3n^2 + 3n $ ,

$ \displaystyle{ 3 \Big( \sum_{i=1}^{n} i^2 \Big) } = n^3 + (3/2)n^2 + (1/2)n $ ,

$ \displaystyle{ 3 \Big( \sum_{i=1}^{n} i^2 \Big) } = { 2n^3 + 3n^2 + n \over 2 } $ ,

or

$ \displaystyle{ \sum_{i=1}^{n} i^2 } = { 2n^3 + 3n^2 + n \over 6 } $

$ = \displaystyle{ n(2n^2 + 3n + 1) \over 6 } $

$ = \displaystyle{ n(n+1)(2n+1) \over 6 } $ .

This completes the proof.

Click HERE to return to the list of problems.




SOLUTION 12 :

There is one nonobvious, but simple step in the solution of this problem. It requires that you write a fraction as a sum or difference of partial fractions. For example,

$ \displaystyle{ { 1 \over 12 } = { 1 \over 3(4) } } = \displaystyle{ { 4 - 3 \o...
...\over 12 } - { 3 \over 12 } } = \displaystyle{ { 1 \over 3 } - { 1 \over 4 } } $

is a partial fractions decomposition of $ \displaystyle{ 1 \over 12 } $ . Then a partial fraction decomposition of $ \displaystyle{ 1 \over i(i+1) } $ is

$ \displaystyle{ 1 \over i(i+1) } = \displaystyle{ {1 \over i } - {1 \over i+1 } } $

so that

$ \displaystyle{ \lim_{n \to \infty }\sum_{i=1}^{n} { 1 \over i(i+1) } }
= \dis...
..._{n \to \infty }\sum_{i=1}^{n} \Big\{ { 1 \over i } - { 1 \over i+1 } \Big\} } $

(This summation is a telescoping sum.)

$
= \displaystyle{ \lim_{n \to \infty } \Big\{ \Big( { 1 \over 1 } - { 1 \over...
... - { 1 \over n } \Big) + \Big( { 1 \over n } - { 1 \over n+1 } \Big)
\Big\} } $

$
= \displaystyle{ \lim_{n \to \infty } \Big\{ 1 + \Big( { -1 \over 2 } + { 1 ...
...\Big) + \Big( { -1 \over n } + { 1 \over n } \Big)
- { 1 \over n+1 } \Big\} } $

$
= \displaystyle{ \lim_{n \to \infty } \Big\{ 1 + (0) + (0) + (0) + ...
+ (0) + (0) - { 1 \over n+1 } \Big\} } $

$
= \displaystyle{ \lim_{n \to \infty } \Big\{ 1 - { 1 \over n+1 } \Big\} } $

(Now evaluate the limit.)

= 1 - 0

= 1 .

Click HERE to return to the list of problems.




SOLUTION 13 :

Note that in all of the following summations, letter i is a variable and letter n is a constant (until the limit is evaluated). Then

$ \displaystyle{ \lim_{n \to \infty }\sum_{i=1}^{n} { 3 \Big(1 + {i \over n }\Bi...
..._{n \to \infty }\sum_{i=1}^{n} { { 3 \over n } \Big(1 + {i \over n }\Big)^2 } }$

$ = \displaystyle{ \lim_{n \to \infty } { 3 \over n } \sum_{i=1}^{n}
\Big\{ 1 + { 2i \over n } + { i^2 \over n^2 } \Big\} } $

$ = \displaystyle{ \lim_{n \to \infty } { 3 \over n } \Big\{ \sum_{i=1}^{n} 1
+ \sum_{i=1}^{n} { 2i \over n } + \sum_{i=1}^{n} { i^2 \over n^2 } \Big\} } $

$ = \displaystyle{ \lim_{n \to \infty } { 3 \over n } \Big\{ \sum_{i=1}^{n} 1
...
...um_{i=1}^{n} i \Big) + { 1 \over n^2 } \Big( \sum_{i=1}^{n} i^2 \Big) \Big\} } $

$ = \displaystyle{ \lim_{n \to \infty } { 3 \over n } \Big\{ (1)(n)
+ { 2 \over n } { n(n+1) \over 2 } + { 1 \over n^2 } { n(n+1)(2n+1) \over 6 } \Big\} } $

$ = \displaystyle{ \lim_{n \to \infty } { 3 \over n } \Big\{ n
+ (n+1) + { (n+1)(2n+1) \over 6n } \Big\} } $

$ = \displaystyle{ \lim_{n \to \infty } { 3 \over n } \Big\{ 2n
+ 1 + { 2n^2 + 3n + 1 \over 6n } \Big\} } $

$ = \displaystyle{ \lim_{n \to \infty } \Big\{ 6 +
{ 3 \over n } + { 6n^2 + 9n + 3 \over 6n^2 } \Big\} } $

$ = \displaystyle{ \lim_{n \to \infty } \Big\{ 6 +
{ 3 \over n } + { 6n^2 \over 6n^2 } + { 9n \over 6n^2 } + { 3 \over 6n^2 } \Big\} } $

$ = \displaystyle{ \lim_{n \to \infty } \Big\{ 6 +
{ 3 \over n } + 1 + { 3 \over 2n } + { 3 \over 6n^2 } \Big\} } $

(Now evaluate the limit.)

= 6 + (0) + 1 + (0) + (0)

= 7 .

Click HERE to return to the list of problems.




SOLUTION 14 :

The formula

4i -1 for i=1, 2, 3, 4, 5, ...

generates the given list of numbers. For example, the first number (i=1) in the list is

4(1)-1 = 3 .

The second number (i=2) in the list is

4(2)-1 = 7 .

The 30th number (i=30) in the list is

4(30)-1 = 119 .

The 120th number (i=12) in the list is

4(120)-1 = 479 .

Thus, the sum of the first 120 numbers in this list can now be computed as

$ 3 + 7 + 11 + 15 + ... + 471 + 475 + 479 = \displaystyle{ \sum_{i=1}^{120} (4i-1) } $

$ = \displaystyle{ \sum_{i=1}^{120} 4i - \sum_{i=1}^{120} 1 } $

$ = \displaystyle{ 4 \Big( \sum_{i=1}^{120} i \Big) - \sum_{i=1}^{120} 1 } $

$ = \displaystyle{ 4 \Big\{ { 120 (120 + 1) \over 2 } \Big\} - (1)(120) } $

= 29,040 - 120

= 28,920 .

Click HERE to return to the list of problems.






Next: About this document ...
Duane Kouba
1999-04-28