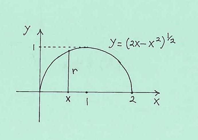
Solution 5: Here is a carefully labeled sketch of the graph with a radius $r$ marked together with $x$ on the $x$-axis.

tex2html_wrap_inline125


Thus the total Area of this Surface of Revolution is $$ Surface \ Area = 2 \pi \int_{0}^{2} (radius) \sqrt{ 1 + \Big({dy \over dx}\Big)^2 } \ dx $$ $$ = 2 \pi \int_{0}^{2} \Big( (2x-x^2)^{1/2} \Big) \sqrt{ 1 + \Big((1/2)(2x-x^2)^{-1/2}(2-2x) \Big)^2 } \ dx $$ $$ = 2 \pi \int_{0}^{2} (2x-x^2)^{1/2} \cdot \sqrt{ 1 + \Big((2x-x^2)^{-1/2}(1-x) \Big)^2 } \ dx $$ $$ = 2 \pi \int_{0}^{2} (2x-x^2)^{1/2} \cdot \sqrt{ 1 + (2x-x^2)^{-1}(1-x)^2 } \ dx $$ $$ = 2 \pi \int_{0}^{4} (2x-x^2)^{1/2} \cdot \sqrt{ 1 + {(1-x)^2 \over 2x-x^2} } \ dx $$ $$ = 2 \pi \int_{0}^{2} (2x-x^2)^{1/2} \cdot \sqrt{ { 2x-x^2 \over 2x-x^2 }+ {1-2x+x^2 \over 2x-x^2} } \ dx $$ $$ = 2 \pi \int_{0}^{2} (2x-x^2)^{1/2} \cdot \sqrt{ 1 \over 2x-x^2} \ dx $$ $$ = 2 \pi \int_{0}^{2} \sqrt{2x-x^2 } \cdot { 1 \over \sqrt{2x-x^2} } \ dx $$ $$ = 2 \pi \int_{0}^{2} 1 \ dx $$ $$ = 2 \pi \cdot x \Big|_{0}^{2} $$ $$ = 2 \pi \cdot (2-0) $$ $$ = 4 \pi $$

Click HERE to return to the list of problems.